Examenele naționale din anul pandemiei
Examenele naționale din acest an au o particularitate: sunt...
Variante de organizare a viitorului an școlar
Variantele de organizare a activității în viitorul an...
Istoria se repetă! Nici anul acesta, elevii clasei a VIII-a nu vor avea manuale la începutul anului școlar
Marcela GHEORGHIU Soarta manualelor școlare este, din nou,...
Guvernul ia în calcul ce e mai rău! Trei scenarii pentru debutul noului an școlar
Marcela GHEORGHIU Pericolul pandemic încă nu a trecut,...
Reforma educației nu iese din tabletă
Forme fără fond la poarta școlii online Florin ANTONESCU,...
Reluarea activităților sportive în unități de învățământ
FLORIN ANTONESCU Cluburile sportive școlare și liceele cu...
Internet, laptopuri și tablete, la cerere, pentru elevi și profesori
Marcela GHEORGHIU Senatul României a adoptat pe 23 iunie,...
Primele calcule după evaluarea națională 2020
FLORIN ANTONESCU Raportul dintre înscrierea la evaluarea...
Pandemia continuă să schimbe regulile jocului în învățământ
Marcela GHEORGHIU Astfel, pe perioada stării de alertă,...
Pandemia schimbă fața școlii
Pandemia schimbă fața școlii Marcela GHEORGHIU Institutul...
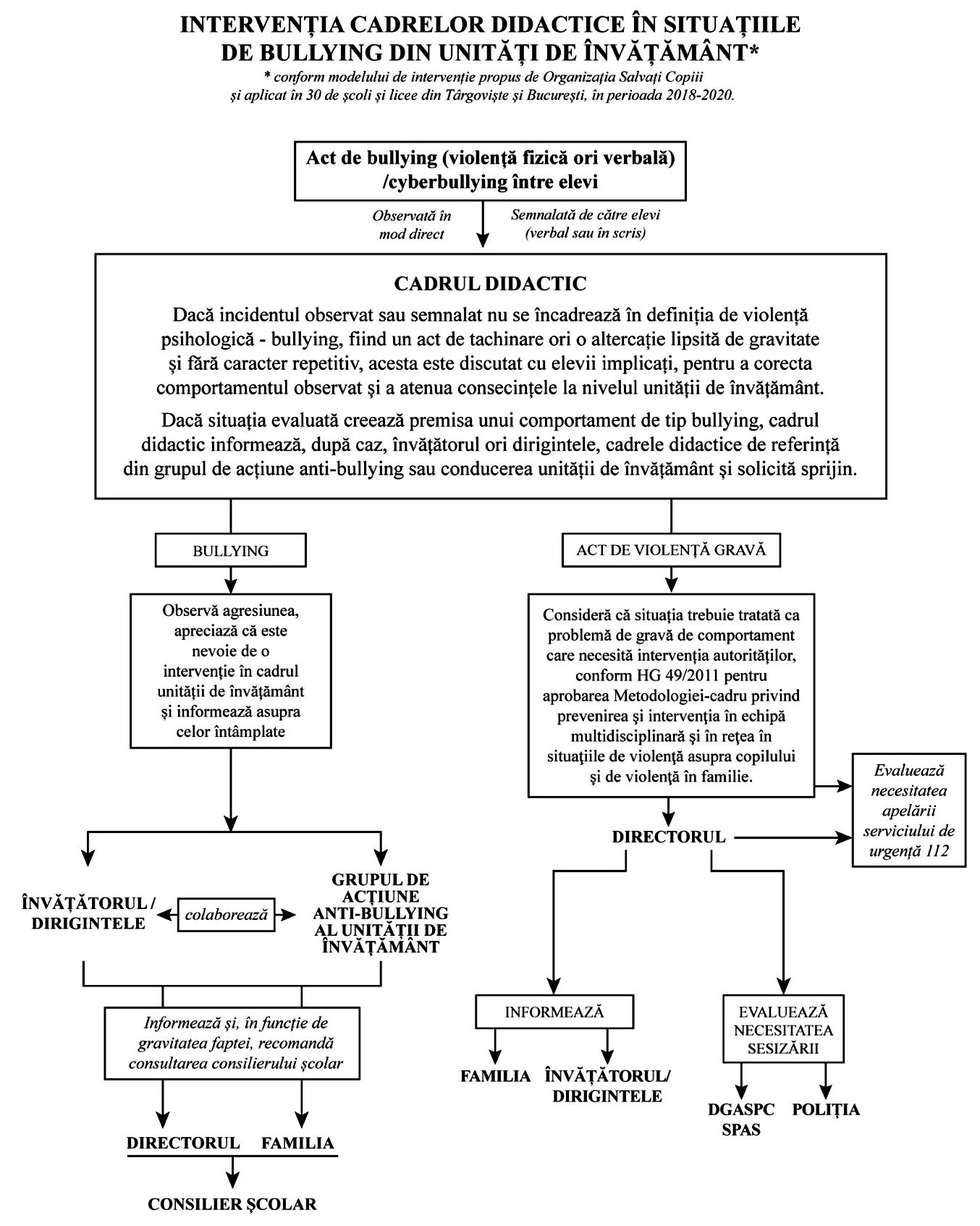
Normele antibullying intră în vigoare
FLORIN ANTONESCU Prevederile pentru prevenirea și...
Ministerul Educației pune la încercare nervii părinților
Creșele, grădinițele, afterschool-urile se vor redeschide...
Examenele Naționale, sub semnul incertitudinii
Prof. Simion Hancescu, președintele FSLI: „Le invit pe...
Școlile-pilot, deocamdată în faza de proiect
FLORIN ANTONESCU Se află în dezbare proiectul unei hotărâri...
Noutăți de ultimă oră pentru cercetarea românească
FLORIN ANTONESCU O panoramă la zi asupra cercetării...
Completări de ultimă oră în metodologia evaluării naționale
FLORIN ANTONESCU Prin ordin al ministrului educației și...
Cele 9 măsuri privind revenirea elevilor la școală și pregătirea examenelor naționale, sub lupa părinților și a sindicatelor din învățământul preuniversitar
Marcela GHEORGHIU Institutul Național de Sănătate Publică a...
Ministerul Educației și Cercetării achiziționează dispozitive IT pentru elevi din medii defavorizate
FLORIN ANTONESCU Guvernul a adoptat la propunerea...
Investiție guvernamentală în dispozitive IT pentru elevi din zone defavorizate
FLORIN ANTONESCU Perspectiva ca fiecare elev să aibă acces...
Înscriere și examene on-line la facultăți
FLORIN ANTONESCU Posibilitatea de organizare a examenelor...
Scotocind după tablete și laptopuri
FLORIN ANTONESCU La două luni de la oprirea activităților...
Apel FSLI: Aproximativ 160 de milioane de lei ar putea fi direcționați către achiziționarea de echipamente digitale pentru elevi
Marcela GHEORGHIU În condițiile în care Ministerul...
Creatorii de educație, într-o nouă competiție
FLORIN ANTONESCU S-a dat startul ediției a doua a selecției...
Creatori de bune practici în educație
FLORIN ANTONESCU Sub egida Ministerului Educației și...
Ministerul Educaţiei şi Cercetării intensifică pregătirile pentru lecții online
FLORIN ANTONESCU Dotarea și pregătirea elevilor și...
Sprijin pentru învățământul particular
FLORIN ANTONESCU Ministerului Educației și Cercetării și...
Examenele naționale se desfășoară la termen
FLORIN ANTONESCU Ministerul Educației și Cercetării face...
Numerele de telefon din cadrul proiectului Ambasador pentru Comunitate au devenit TELVERDE
Prin intermediul parteneriatului încheiat între Ministerul...
Instrucțiuni ale Ministerului Educației și Cercetării de organizare a procesului educațional în perioada suspendării cursurilor
FLORIN ANTONESCU Prin ordin al ministrului educației și...
„Înghețarea anului școlar nu se ia în calcul sub nicio formă”
MEC va face publice scenariile privind continuarea...
Cursurile nu se reiau pe 6 aprilie!
Ministerul Educației și Cercetării va formula denunț penal!...
Ministerul Educației alocă fonduri pentru cercetare asupra epidemiei SARS-COV-2
FLORIN ANTONESCU Ministerul Educației și Cercetării a...
Tribuna Învățământului